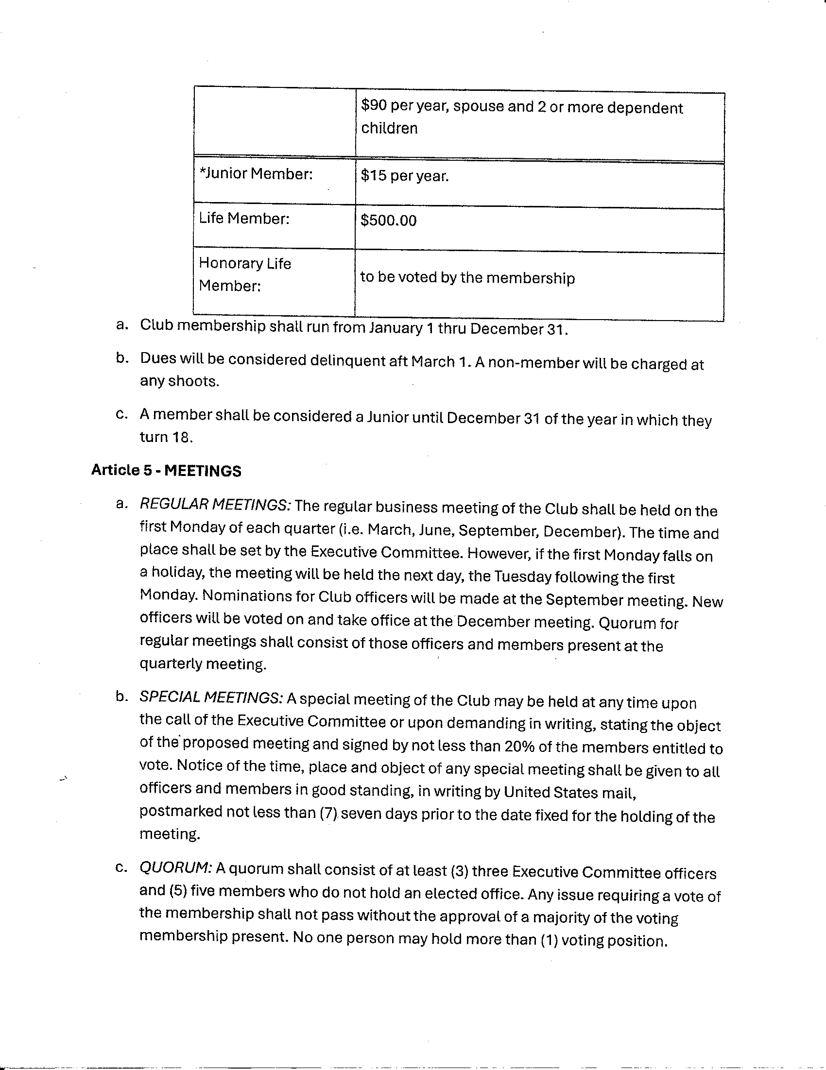
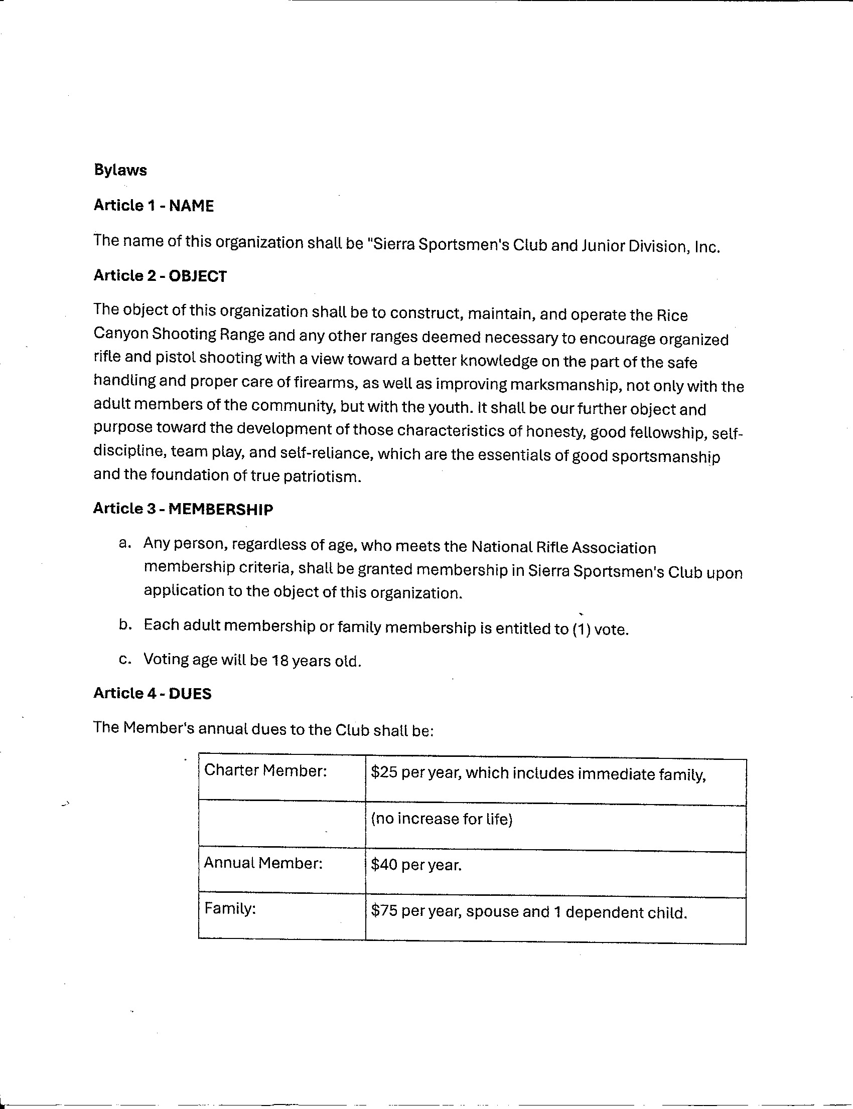
Sierra Sportsmen's Club and Junior Division, Inc.